CRI計算采用的標準色樣板為非飽和色,對于衡量連續且頻帶較寬的光源的顯色性比較好;對于LED 等飽和色光源,顯色性評價準確性會有一定的誤差。如圖2,選取12塊標準色卡與標準光源對比,受試LED光源A(Ra =80)對右邊四塊飽和色的表現不如受試LED光源B(Ra =67)。
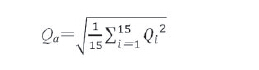
2 色質指數CQS 基于CRI在評估LED光源時,存在色空間不均勻、標準色樣少、飽和度過低等問題。美國國家標準與技術研究所給出一種新方法——色質指數(Color Quality Scale ,簡稱CQS),來評價 LED 等新型白光光源的顏色品質。 與CRI類似,CQS也采用驗色法。通過被測光源與參考光源,照射同標準色樣,計算出它們之間的色差。區別于CRI的非飽和色,CQS選取15種飽和色,它們平均分布于整個可見光譜中。 如圖3,色質指數CQS測試色板的顏色由紅到紫構成近乎連續變化的偏飽和顏色。計算CQS值所需的數據都可以從光源的光譜和色樣的顏色屬性中推導出來,對15塊色樣的顏色位移量的初始計算與對CRI色樣的計算相似,但是CQS值是取15個數據的均方根值,即:
式中:Qa——Qi的15個數據的均方根值;Qi ——被測光源與參考光源照射同一套標準色樣的色差,i取1~15。相比于CRI(Ra)的計算,CQS(Qa)的計算方法在色差的權重上得到了增強,這樣即使在色樣間有一些色差,也不會對最終結果產生重大影響。 CQS兼顧了LED白光等飽和色和樣板色的完整性,但在準確評價顏色的保真度、偏好度不同種族人群方面,需要進一步進行視覺實驗和完善。 3 電視光源一致性指數TLCI 歐洲廣播聯盟(European BroadcastingUnion,簡稱 EBU)在2011年11月發布了另外一種針對演播室燈光的測試標準——電視光源一致性指數(Television Lighting ConsistencyIndex,縮寫為TLCI),它充分考慮了電視攝像機對照明環境的要求。 TLCI是用光譜輻射計對一個光源發出的光譜能量分布進行測量和計算的。TLCI標準的測試與CRI有些類似,是由一張色彩對比圖標顯示比對結果確定的。其測試色塊有24塊,如圖5,左側測試色塊顯示了由標準攝影機所還原并在標準顯示屏上顯示的參考光源和被測光源,右邊的表格提供了12個色彩區塊調整亮度、色度和色調所需的指示。右下的圖示則畫出了被測光源(深黑色曲線)和參考光源(淺色曲線)的光譜強度分布對比圖。
節選自《演藝科技》2016年第5期王立《光源顯色性評價標準與高清電視畫質的關系》
上一篇: 如何配合節目制作中舞臺燈光與切像